236 results found
W.J. Miller
ET Vol: 13, Apr 1860
Matrices and Determinants

W.K. Clifford
ET Vol: 17, Apr 1864
Matrices and Determinants

W.A. Whitworth
ET Vol: 17, Mar 1865
Matrices and Determinants

M. Jenkins
ET Vol: 19, Jun 1866
Matrices and Determinants

H.R. Greer
ET Vol: 19, Sep 1866
Matrices and Determinants

W.H. Laverty
ET Vol: 19, Oct 1866
Matrices and Determinants

T. Cotterill
ET Vol: 19, Mar 1867
Matrices and Determinants

F.A. Tarleton
ET Vol: 19, Mar 1867
Matrices and Determinants

J.J. Walker
ET Vol: 21, Sep 1868
Matrices and Determinants

J.J. Sylvester
ET Vol: 23, May 1870
Matrices and Determinants

J. Wolstenholme
ET Vol: 23, Dec 1870
Matrices and Determinants

B. Williamson
ET Vol: 24, Mar 1872
Matrices and Determinants

J.J. Walker
ET Vol: 24, Mar 1872
Matrices and Determinants

W.K. Clifford
ET Vol: 26, Oct 1873
Matrices and Determinants

J.J. Sylvester
ET Vol: 27, May 1874
Matrices and Determinants

J. Wolstenholme
ET Vol: 27, May 1874
Matrices and Determinants

S. Roberts
ET Vol: 27, May 1874
Matrices and Determinants

J.W.L. Glaisher
ET Vol: 27, Jun 1874
Matrices and Determinants

J.L. McKenzie
ET Vol: 27, Oct 1874
Matrices and Determinants

W.S.B. Woolhouse
ET Vol: 28, Jan 1876
Matrices and Determinants

W.K. Clifford
ET Vol: 29, Apr 1876
Matrices and Determinants

J.J. Sylvester
ET Vol: 29, Jun 1876
Matrices and Determinants

J.L. McKenzie
ET Vol: 29, Sep 1876
Matrices and Determinants

J.C. Malet
ET Vol: 29, Dec 1876
Matrices and Determinants

Lloyd Tanner
ET Vol: 30, Apr 1877
Matrices and Determinants

H.W. Harris
ET Vol: 30, Nov 1877
Matrices and Determinants

J.W.L. Glaisher
ET Vol: 31, Jan 1878
Matrices and Determinants

J.L. McKenzie
ET Vol: 31, Apr 1878
Matrices and Determinants

G.S. Carr
ET Vol: 31, Sep 1878
Matrices and Determinants

W.R. Roberts
ET Vol: 31, Dec 1878
Matrices and Determinants

J. Hammond
ET Vol: 32, Jun 1879
Matrices and Determinants

J.J. Walker
ET Vol: 32, Jul 1879
Matrices and Determinants

J. Wolstenholme
ET Vol: 32, Aug 1879
Matrices and Determinants

Lloyd Tanner
ET Vol: 32, Aug 1879
Matrices and Determinants

J.J. Sylvester
ET Vol: 33, Jan 1880
Matrices and Determinants

J.L. McKenzie
ET Vol: 33, Jun 1880
Matrices and Determinants

J. Hammond
ET Vol: 34, Aug 1881
Matrices and Determinants

J.J. Sylvester
ET Vol: 34, Sep 1881
Matrices and Determinants

J.C. Malet
ET Vol: 35, Jan 1882
Matrices and Determinants

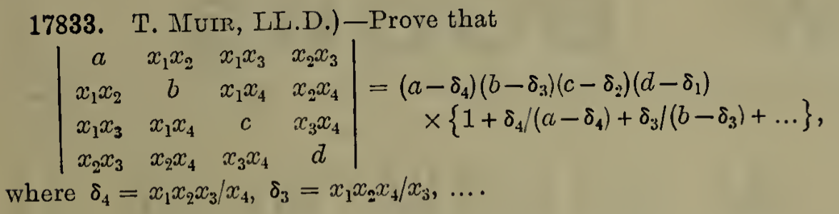
T. Muir
ET Vol: 35, Jan 1882
Matrices and Determinants

C. Leudesdorf
ET Vol: 35, Feb 1882
Matrices and Determinants

Ath Bigah Bhut
ET Vol: 35, May 1882
Matrices and Determinants

R.A. Roberts
ET Vol: 35, Jun 1882
Matrices and Determinants

J.J. Sylvester
ET Vol: 35, Jul 1882
Matrices and Determinants

J. Hammond
ET Vol: 35, Jul 1882
Matrices and Determinants

J.J. Sylvester
ET Vol: 35, Aug 1882
Matrices and Determinants

R.W. Genese
ET Vol: 35, Oct 1882
Matrices and Determinants

Thomas Muir
ET Vol: 35, Nov 1882
Matrices and Determinants

R.W. Genese
ET Vol: 35, Nov 1882
Matrices and Determinants

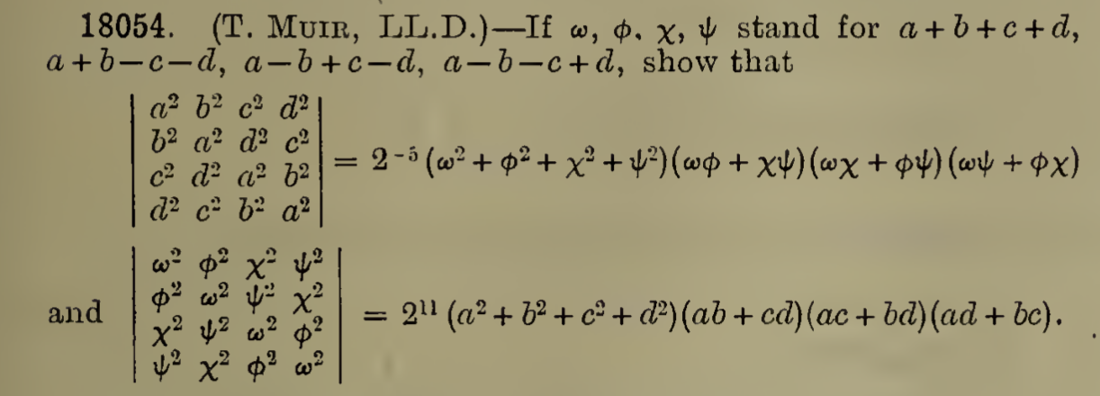
T. Muir
ET Vol: 36, Feb 1883
Matrices and Determinants

G.G. Morrice
ET Vol: 36, May 1883
Matrices and Determinants

R. Tucker
ET Vol: 36, Jun 1883
Matrices and Determinants

J.J. Sylvester
ET Vol: 36, Oct 1883
Matrices and Determinants

J.J. Sylvester
ET Vol: 36, Nov 1883
Matrices and Determinants

T. Muir
ET Vol: 36, Nov 1883
Matrices and Determinants

J. Wolstenholme
ET Vol: 37, Jan 1884
Matrices and Determinants

T. Muir
ET Vol: 37, Jan 1884
Matrices and Determinants

T. Muir
ET Vol: 37, Feb 1884
Matrices and Determinants

C. Leudesdorf
ET Vol: 37, May 1884
Matrices and Determinants

J.J. Sylvester
ET Vol: 37, Jun 1884
Matrices and Determinants

J.J. Walker
ET Vol: 37, Jun 1884
Matrices and Determinants

J.J. Sylvester
ET Vol: 37, Aug 1884
Matrices and Determinants

J.J. Sylvester
ET Vol: 37, Sep 1884
Matrices and Determinants

J.J. Sylvester
ET Vol: 37, Oct 1884
Matrices and Determinants

J.J. Sylvester
ET Vol: 37, Nov 1884
Matrices and Determinants

D. Edwardes
ET Vol: 37, Dec 1884
Matrices and Determinants

T. Muir
ET Vol: 38, Feb 1885
Matrices and Determinants

T. Muir
ET Vol: 38, Mar 1885
Matrices and Determinants

H.J. Read
ET Vol: 38, May 1885
Matrices and Determinants

Piers C. Ward
ET Vol: 38, Jul 1885
Matrices and Determinants

J.J. Sylvester
ET Vol: 38, Sep 1885
Matrices and Determinants

J.J. Sylvester
ET Vol: 38, Oct 1885
Matrices and Determinants

Thomas Muir
ET Vol: 38, Nov 1885
Matrices and Determinants

L.J. Rogers
ET Vol: 38, Nov 1885
Matrices and Determinants

P.C. Ward
ET Vol: 38, Dec 1885
Matrices and Determinants

J. Wolstenholme
ET Vol: 39, Jan 1886
Matrices and Determinants

Thomas Muir
ET Vol: 39, Jan 1886
Matrices and Determinants

Piers C. Ward
ET Vol: 39, Feb 1886
Matrices and Determinants

R. Tucker
ET Vol: 39, Jun 1886
Matrices and Determinants

H.G. Dawson
ET Vol: 39, Jul 1886
Matrices and Determinants

J.J. Sylvester
ET Vol: 39, Oct 1886
Matrices and Determinants

L.J. Rogers
ET Vol: 39, Oct 1886
Matrices and Determinants

D. Edwardes
ET Vol: 39, Oct 1886
Matrices and Determinants

W.J.C. Sharp
ET Vol: MQ 46, 1887
Matrices and Determinants

W.J.C. Sharp
ET Vol: MQ 46, 1887
Matrices and Determinants

W.J.C. Sharp
ET Vol: MQ 46, 1887
Matrices and Determinants

W.J.C. Sharp
ET Vol: MQ 46, 1887
Matrices and Determinants

A. Gordon
ET Vol: 40, Mar 1887
Matrices and Determinants

R.W.D. Christie
ET Vol: 40, May 1887
Matrices and Determinants

R.W.D. Christie
ET Vol: 40, Oct 1887
Matrices and Determinants

Mahendra Nath Ray
ET Vol: 40, Dec 1887
Matrices and Determinants

A.E. Thomas
ET Vol: 41, May 1888
Matrices and Determinants

Kalipada Basû
ET Vol: 41, Jul 1888
Matrices and Determinants

R. Tucker
ET Vol: 41, Aug 1888
Matrices and Determinants

W.J.C. Sharp
ET Vol: MQ 49, 1888
Matrices and Determinants

W.J.C. Sharp
ET Vol: MQ 49, 1888
Matrices and Determinants

Prof Emmerich
ET Vol: 41, Dec 1888
Matrices and Determinants

Capitaine de Rocquigny
ET Vol: 41, Dec 1888
Matrices and Determinants

Prof. Hermite
ET Vol: 42, Jan 1889
Matrices and Determinants

Prof. Basû
ET Vol: 42, Apr 1889
Matrices and Determinants

Capitaine de Rocquigny
ET Vol: 42, Jul 1889
Matrices and Determinants

L.W. Robinson
ET Vol: 42, Aug 1889
Matrices and Determinants

G.F. Howse
ET Vol: 42, Nov 1889
Matrices and Determinants

J. O’Byrne Croke
ET Vol: 42, Dec 1889
Matrices and Determinants

R.W. Genese
ET Vol: 43, May 1890
Matrices and Determinants

J.J. Sylvester
ET Vol: 43, Jun 1890
Matrices and Determinants

J.J. Sylvester
ET Vol: 43, Nov 1890
Matrices and Determinants

J.J. Sylvester
ET Vol: 43, Dec 1890
Matrices and Determinants

W.J.C. Sharp
ET Vol: 44, Mar 1891
Matrices and Determinants

W.J.C. Sharp
ET Vol: 44, Apr 1891
Matrices and Determinants

L.J. Rogers
ET Vol: 44, Apr 1891
Matrices and Determinants

V. Ramaswami Aiyar
ET Vol: 45, Jan 1892
Matrices and Determinants

H.W. Segar
ET Vol: 45, Feb 1892
Matrices and Determinants

H.W. Segar
ET Vol: 45, Mar 1892
Matrices and Determinants

V. Ramaswami Aiyar
ET Vol: 45, May 1892
Matrices and Determinants

J.J. Sylvester
ET Vol: 45, Aug 1892
Matrices and Determinants

T. Muir
ET Vol: 46, Jan 1893
Matrices and Determinants

Prof. Vautré
ET Vol: 46, Mar 1893
Matrices and Determinants

C. Leudesdorf
ET Vol: 46, Jul 1893
Matrices and Determinants

Prof. Morley
ET Vol: 47, Mar 1894
Matrices and Determinants

W.J.C. Sharp
ET Vol: 47, Apr 1894
Matrices and Determinants

R. Tucker
ET Vol: 47, Jun 1894
Matrices and Determinants

R. Tucker
ET Vol: 47, Oct 1894
Matrices and Determinants

R. Tucker
ET Vol: 48, Jul 1895
Matrices and Determinants

W. Booth
ET Vol: 48, Nov 1895
Matrices and Determinants

Editor
ET Vol: 50, Oct 1897
Matrices and Determinants

R.F. Muirhead
ET Vol: 50, Oct 1897
Matrices and Determinants

C.E. Bickmore
ET Vol: 51, Jan 1898
Matrices and Determinants

J. Neuberg
ET Vol: 51, Jul 1898
Matrices and Determinants

E.J. Nanson
ET Vol: 51, Sep 1898
Matrices and Determinants

H.W. Curjel
ET Vol: 51, Sep 1898
Matrices and Determinants

C.E. Bickmore
ET Vol: 51, Nov 1898
Matrices and Determinants

E.J. Nanson
ET Vol: 52, Feb 1899
Matrices and Determinants

Prof. Neuberg
ET Vol: 52, Apr 1899
Matrices and Determinants

V.R. Thyagaragaiyar
ET Vol: 52, Jun 1899
Matrices and Determinants

E.J. Nanson
ET Vol: 52, Jul 1899
Matrices and Determinants

G.B. Mathews
ET Vol: 52, Oct 1899
Matrices and Determinants

Prof. Neuberg
ET Vol: 54, Feb 1901
Matrices and Determinants

T. Muir
ET Vol: 54, Feb 1901
Matrices and Determinants

R. Tucker
ET Vol: 54, May 1901
Matrices and Determinants

R.F. Davis
ET Vol: 54, May 1901
Matrices and Determinants

E.J. Nanson
ET Vol: 54, Jun 1901
Matrices and Determinants

E.J. Nanson
ET Vol: 54, Jul 1901
Matrices and Determinants

Prof. Neuberg
ET Vol: 54, Oct 1901
Matrices and Determinants

T. Muir
ET Vol: 54, Nov 1901
Matrices and Determinants

E.J. Nanson
ET Vol: 55, Jul 1902
Matrices and Determinants

T. Roach
ET Vol: 55, Jul 1902
Matrices and Determinants

E.J. Nanson
ET Vol: 55, Sep 1902
Matrices and Determinants

R. Tucker
ET Vol: 55, Sep 1902
Matrices and Determinants

E.J. Nanson
ET Vol: 55, Dec 1902
Matrices and Determinants

E.J. Nanson
ET Vol: 56, Mar 1903
Matrices and Determinants

E.B. Escott
ET Vol: 56, May 1903
Matrices and Determinants

G.H. Hardy
ET Vol: 56, Jun 1903
Matrices and Determinants

E.J. Nanson
ET Vol: 56, Jul 1903
Matrices and Determinants

Thomas Muir
ET Vol: 56, Oct 1903
Matrices and Determinants

A.M. Nesbitt
ET Vol: 56, Dec 1903
Matrices and Determinants

A.M. Nesbitt
ET Vol: 57, Jan 1904
Matrices and Determinants

G.H. Hardy
ET Vol: 57, Jan 1904
Matrices and Determinants

G.H. Hardy
ET Vol: 57, Feb 1904
Matrices and Determinants

J.L.S. Hatton
ET Vol: 57, Apr 1904
Matrices and Determinants

A.M. Nesbitt
ET Vol: 57, Oct 1904
Matrices and Determinants

Prof. Neuberg
ET Vol: 58, Apr 1905
Matrices and Determinants

E.J. Nanson
ET Vol: 58, Nov 1905
Matrices and Determinants

S.C. Bagchi
ET Vol: 58, Dec 1905
Matrices and Determinants

Thomas Muir
ET Vol: 59, Jan 1906
Matrices and Determinants

W.W. Tayler
ET Vol: 59, Apr 1906
Matrices and Determinants

Hon. G.R. Dick
ET Vol: 59, Apr 1906
Matrices and Determinants

A.M. Nesbitt
ET Vol: 59, Oct 1906
Matrices and Determinants

Hon. G.R. Dick
ET Vol: 59, Dec 1906
Matrices and Determinants

H.L. Trachtenberg
ET Vol: 59, Dec 1906
Matrices and Determinants

Hon. G.R. Dick
ET Vol: 60, Jun 1907
Matrices and Determinants

C.M. Ross
ET Vol: 60, Sep 1907
Matrices and Determinants

S. Narayana Aiyar
ET Vol: 60, Nov 1907
Matrices and Determinants

T. Muir
ET Vol: 61, Jan 1908
Matrices and Determinants

A.M. Nesbitt
ET Vol: 61, Jan 1908
Matrices and Determinants

A.M. Nesbitt
ET Vol: 61, Mar 1908
Matrices and Determinants

C.M. Ross
ET Vol: 61, Apr 1908
Matrices and Determinants

C.M. Ross
ET Vol: 61, Jul 1908
Matrices and Determinants

E. Hernández
ET Vol: 61, Aug 1908
Matrices and Determinants

T. Muir
ET Vol: 61, Sep 1908
Matrices and Determinants

T. Stuart
ET Vol: 62, Jul 1909
Matrices and Determinants

C.M. Ross
ET Vol: 62, Dec 1909
Matrices and Determinants

C.M. Ross
ET Vol: 63, Jan 1910
Matrices and Determinants

E.B. Escott
ET Vol: 63, Apr 1910
Matrices and Determinants

E.B. Escott
ET Vol: 63, May 1910
Matrices and Determinants

C.M. Ross
ET Vol: 63, Oct 1910
Matrices and Determinants

A. Del Re
ET Vol: 64, Jan 1911
Matrices and Determinants

N.H. Jones
ET Vol: 64, Apr 1911
Matrices and Determinants

C.M. Ross
ET Vol: 64, Apr 1911
Matrices and Determinants

J.C. Swaminarayan
ET Vol: 64, Apr 1911
Matrices and Determinants

C.M. Ross
ET Vol: 64, Jun 1911
Matrices and Determinants

Prof. Neuberg
ET Vol: 64, Sep 1911
Matrices and Determinants

E.J. Nanson
ET Vol: 65, Jan 1912
Matrices and Determinants

M. Satyanarayana
ET Vol: 65, Feb 1912
Matrices and Determinants

Prof. Neuberg
ET Vol: 65, May 1912
Matrices and Determinants

C.M. Ross
ET Vol: 65, Jun 1912
Matrices and Determinants

J.C. Swaminarayan
ET Vol: 65, Jul 1912
Matrices and Determinants

J.C. Swaminarayan
ET Vol: 65, Aug 1912
Matrices and Determinants

C.M. Ross
ET Vol: 65, Sep 1912
Matrices and Determinants

E.J. Nanson
ET Vol: 65, Oct 1912
Matrices and Determinants

D.M.Y. Sommerville
ET Vol: 66, Jan 1913
Matrices and Determinants

C.M. Ross
ET Vol: 66, Jan 1913
Matrices and Determinants

Prof. Neuberg
ET Vol: 66, Jun 1913
Matrices and Determinants

C.M. Ross
ET Vol: 66, Jul 1913
Matrices and Determinants

J.C. Swaminarayan
ET Vol: 66, Jul 1913
Matrices and Determinants

T. Muir
ET Vol: 66, Oct 1913
Matrices and Determinants

C.M. Ross
ET Vol: 66, Oct 1913
Matrices and Determinants

T. Muir
ET Vol: 67, Jan 1914
Matrices and Determinants

R.F. Davis
ET Vol: 67, Feb 1914
Matrices and Determinants

T. Muir
ET Vol: 67, Apr 1914
Matrices and Determinants

T. Muir
ET Vol: 67, May 1914
Matrices and Determinants

C.M. Ross
ET Vol: 67, Jun 1914
Matrices and Determinants

C.M. Ross
ET Vol: 67, Jul 1914
Matrices and Determinants

S. Pollard
ET Vol: 67, Jul 1914
Matrices and Determinants

T. Muir
ET Vol: 67, Aug 1914
Matrices and Determinants

T. Muir
ET Vol: 67, Oct 1914
Matrices and Determinants

W.N. Bailey
ET Vol: 67, Nov 1914
Matrices and Determinants

T. Muir
ET Vol: 67, Dec 1914
Matrices and Determinants

K.J. Sanjána
ET Vol: 67, Dec 1914
Matrices and Determinants

T. Muir
ET Vol: 68, Jan 1915
Matrices and Determinants

W.J. Martyn
ET Vol: 68, Jan 1915
Matrices and Determinants

T. Muir
ET Vol: 68, Feb 1915
Matrices and Determinants

C.M. Ross
ET Vol: 68, Feb 1915
Matrices and Determinants

E.J. Nanson
ET Vol: 68, Feb 1915
Matrices and Determinants

T. Muir
ET Vol: 68, Mar 1915
Matrices and Determinants

T. Muir
ET Vol: 68, Apr 1915
Matrices and Determinants

J.C. Swaminarayan
ET Vol: 68, Apr 1915
Matrices and Determinants

T. Muir
ET Vol: 68, May 1915
Matrices and Determinants

C.M. Ross
ET Vol: 68, May 1915
Matrices and Determinants

T. Muir
ET Vol: 68, Jun 1915
Matrices and Determinants

J.C. Swaminarayan
ET Vol: 68, Jun 1915
Matrices and Determinants

T. Muir
ET Vol: 68, Jul 1915
Matrices and Determinants

T. Muir
ET Vol: 68, Aug 1915
Matrices and Determinants

C.M. Ross
ET Vol: 68, Sep 1915
Matrices and Determinants

T. Muir
ET Vol: 68, Oct 1915
Matrices and Determinants

C.M. Ross
ET Vol: 68, Dec 1915
Matrices and Determinants