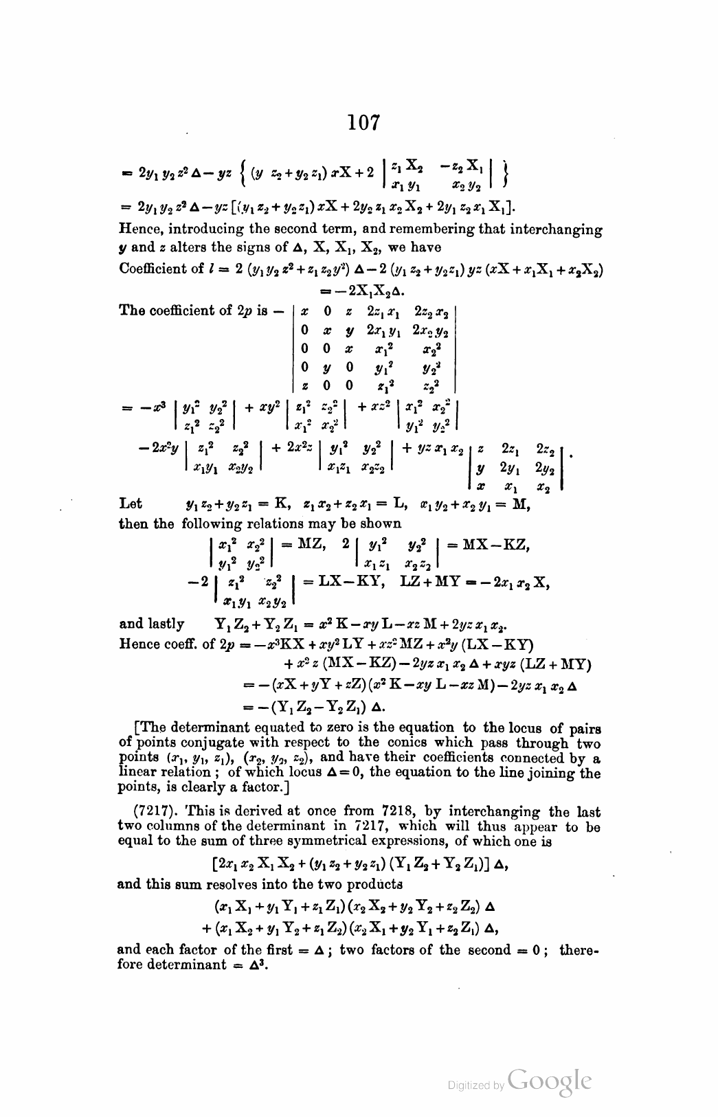
Woolly Mathematics
Home
F.A.Q.
Database
All problems
Extras
About
Previous
Next
Number:
7218
Author:
R.W. Genese
Issue:
ET Vol 35, Nov 1882
Tags:
Matrices and Determinants
Solved by:
G. Heppel, MQ Vol 39
Solved by:
Prof. Roy, MQ Vol 39
Problem in the journal
Solution