Woolly Mathematics
Home
F.A.Q.
Database
All problems
Extras
About
Previous
Next
Number:
9540
Author:
Ignacio Beyens
Issue:
ET Vol 41, May 1888
Tags:
Triangle & Circle Geometry (Trilinear coordinates)
Solved by:
J. O’Byrne Croke, MQ Vol 50
Solved by:
R. Knowles, MQ Vol 50
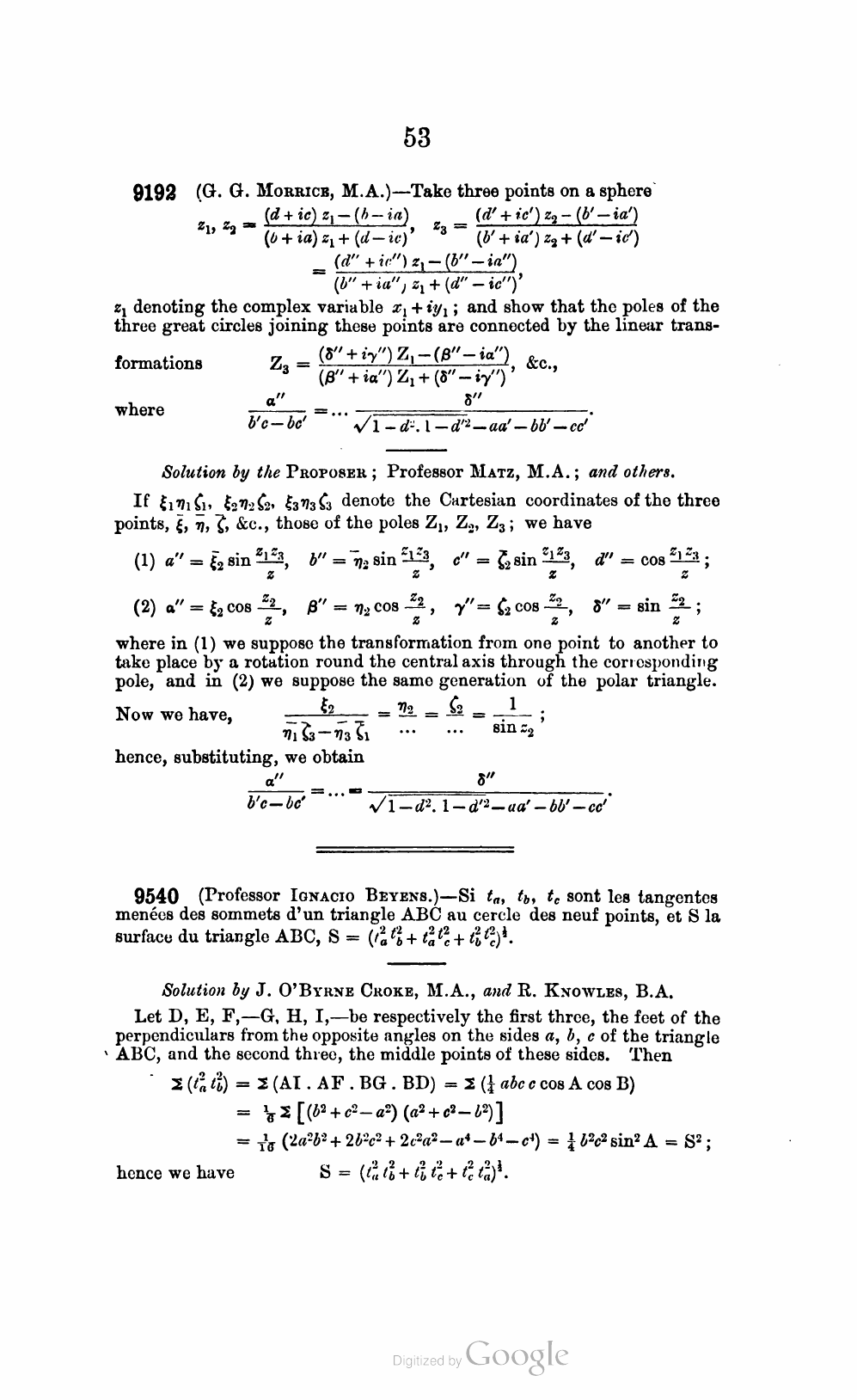
Problem in the journal
Solution