Woolly Mathematics
Home
F.A.Q.
Database
All problems
Extras
About
Previous
Next
Number:
8812
Author:
R.W.D. Christie
Issue:
ET Vol 39, Nov 1886
Tags:
Combinatorics
Solved by:
R.W.D. Christie, MQ Vol 48
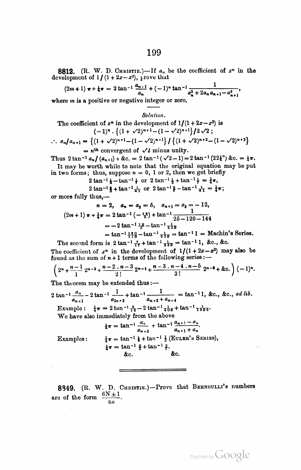
Problem in the journal
Solution