Woolly Mathematics
Home
F.A.Q.
Database
All problems
Extras
About
Previous
Next
Number:
8610
Author:
S. Tebay
Issue:
ET Vol 39, Jun 1886
Tags:
Analysis (Sequences & Series)
Solved by:
F.P. Matz, MQ Vol 48
Solved by:
S. Tebay, MQ Vol 48
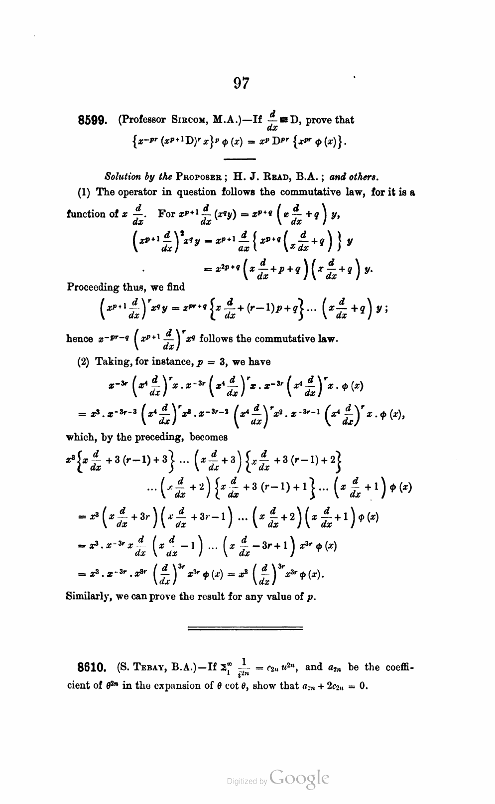
Problem in the journal
Solution