Woolly Mathematics
Home
F.A.Q.
Database
All problems
Extras
About
Previous
Next
Number:
8602
Author:
Editor
Issue:
ET Vol 39, Jun 1886
Tags:
Average Value / Average Distance
Solved by:
D. Biddle, MQ Vol 46
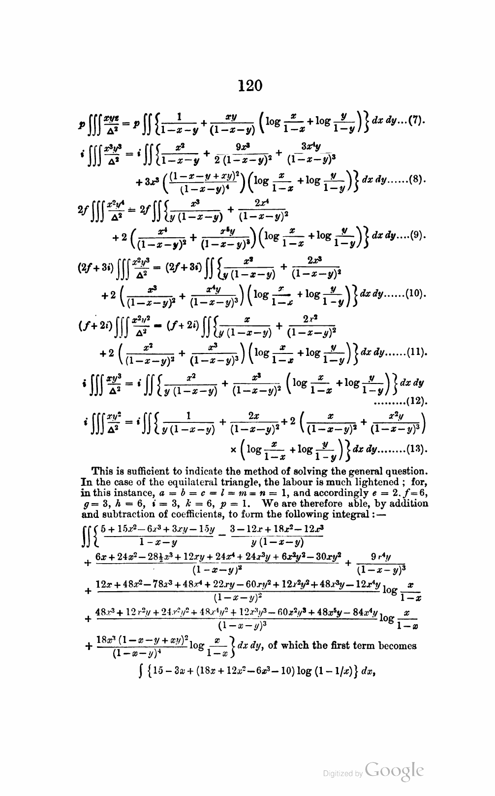
Problem in the journal
Solution