Woolly Mathematics
Home
F.A.Q.
Database
All problems
Extras
About
Previous
Next
Number:
8034
Author:
N’Importe
Issue:
ET Vol 38, Feb 1885
Tags:
Analysis (Real & Complex)
Solved by:
D. Edwardes, MQ Vol 45
Solved by:
G.G. Storr, MQ Vol 45
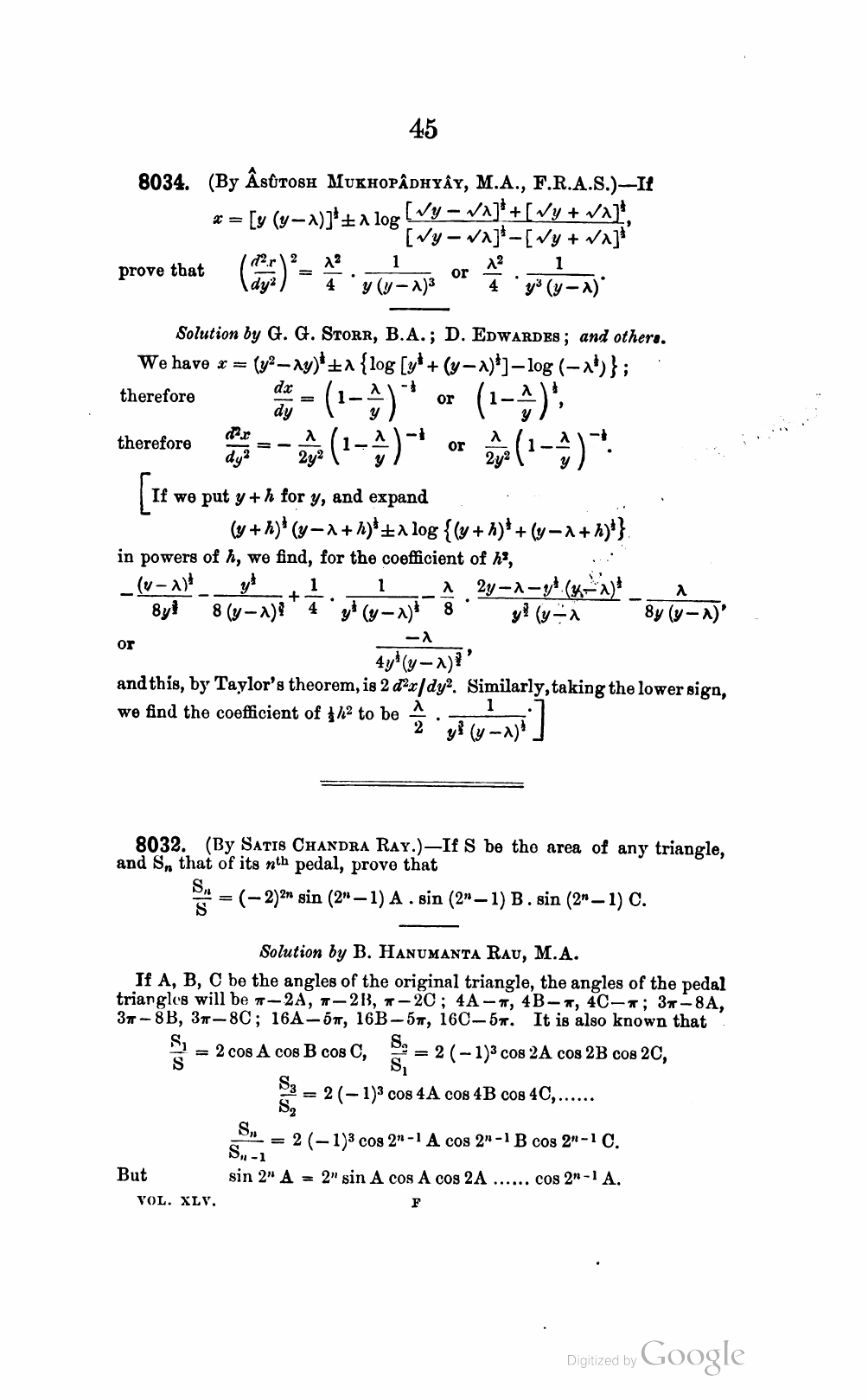
Problem in the journal
Solution