Woolly Mathematics
Home
F.A.Q.
Database
All problems
Extras
About
Previous
Next
Number:
7840
Author:
J. Wolstenholme
Issue:
ET Vol 37, Sep 1884
Tags:
Solved by:
D. Edwardes, MQ Vol 44
Solved by:
G.B. Mathews, MQ Vol 46
Solved by:
W.T. Mitchell, MQ Vol 44
Solved by:
A.M. Nash, MQ Vol 46
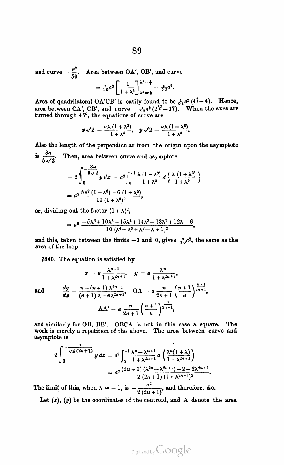
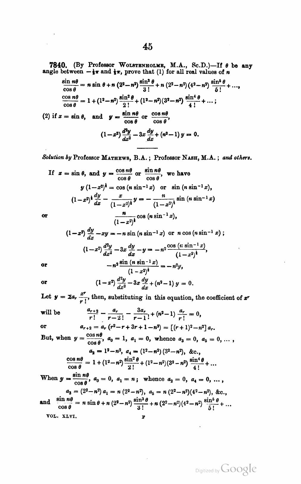
Problem in the journal
Solution
Solution