Woolly Mathematics
Home
F.A.Q.
Database
All problems
Extras
About
Previous
Next
Number:
7104
Author:
W.S. Burnside
Issue:
ET Vol 35, Jul 1882
Tags:
Differential Equations / Orthogonal Trajectories
Solved by:
J.W. Sharpe, MQ Vol 38
Solved by:
J. Wolstenholme, MQ Vol 38
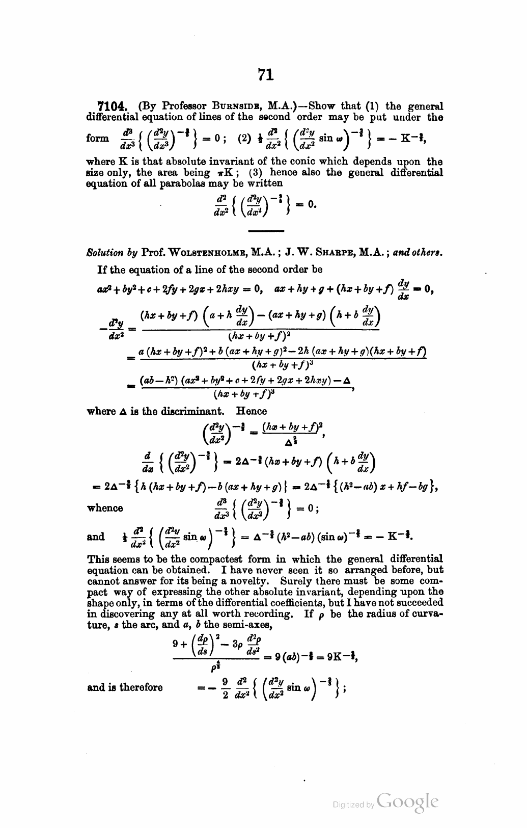
Problem in the journal
Solution