Woolly Mathematics
Home
F.A.Q.
Database
All problems
Extras
About
Previous
Next
Number:
6770
Author:
J. Wolstenholme
Issue:
ET Vol 34, Jul 1881
Tags:
Conics (general)
Solved by:
F. Budd, MQ Vol 36
Solved by:
G.F. Walker, MQ Vol 36
Solved by:
J. Wolstenholme, MQ Vol 36
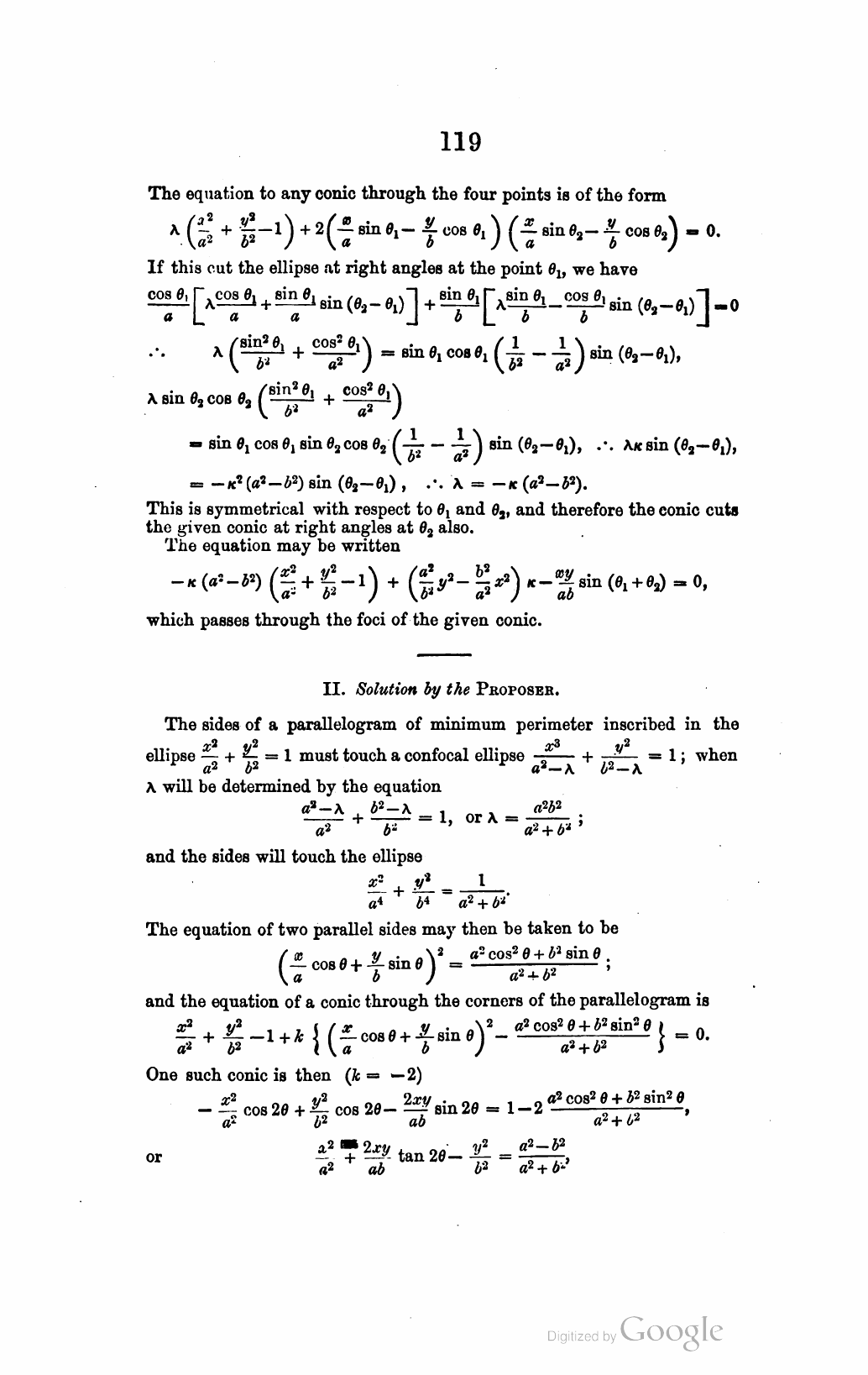
Problem in the journal
Solution