Woolly Mathematics
Home
F.A.Q.
Database
All problems
Extras
About
Previous
Next
Number:
6566
Author:
J. Wolstenholme
Issue:
ET Vol 34, Jan 1881
Tags:
Triangle & Circle Geometry (Trilinear coordinates)
Solved by:
K.J. Sanjána, MQ Vol 69
Solved by:
H.J. Woodall, MQ Vol 62
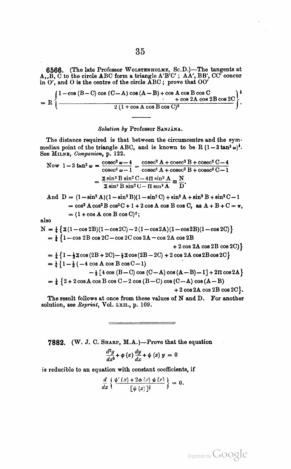
Problem in the journal
Solution
Solution