Woolly Mathematics
Home
F.A.Q.
Database
All problems
Extras
About
Previous
Next
Number:
6401
Author:
R. Knowles
Issue:
ET Vol 33, Jul 1880
Tags:
Non-Conic Curves & Locus/Envelopes
Solved by:
A.L. Selby, MQ Vol 34
Solved by:
W.E. Wight, MQ Vol 34
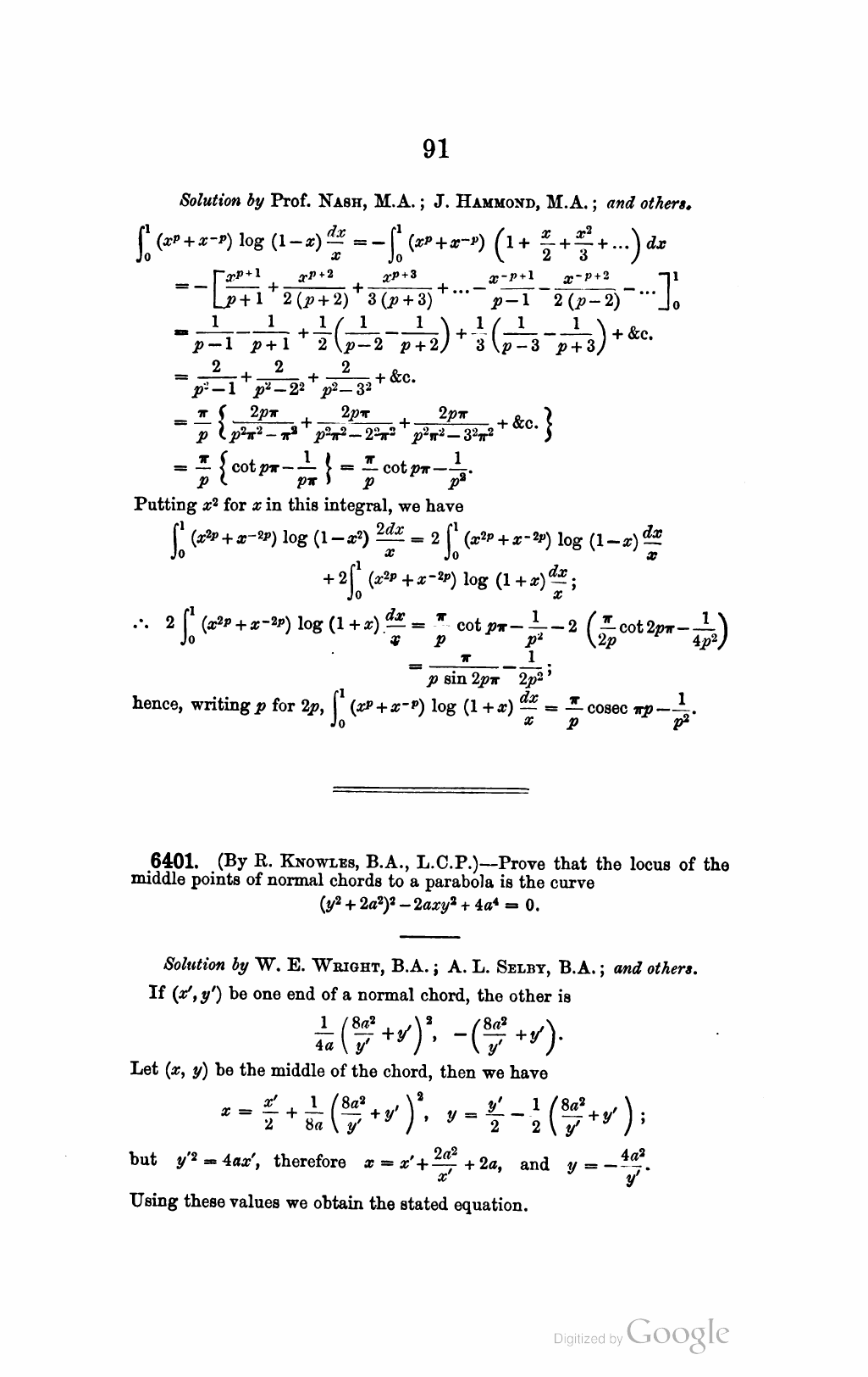
Problem in the journal
Solution