Woolly Mathematics
Home
F.A.Q.
Database
All problems
Extras
About
Previous
Next
Number:
6256
Author:
C. Taylor
Issue:
ET Vol 33, Mar 1880
Tags:
Solved by:
R.W. Genesee, MQ Vol 37
Solved by:
W.J.C. Sharp, MQ Vol 37
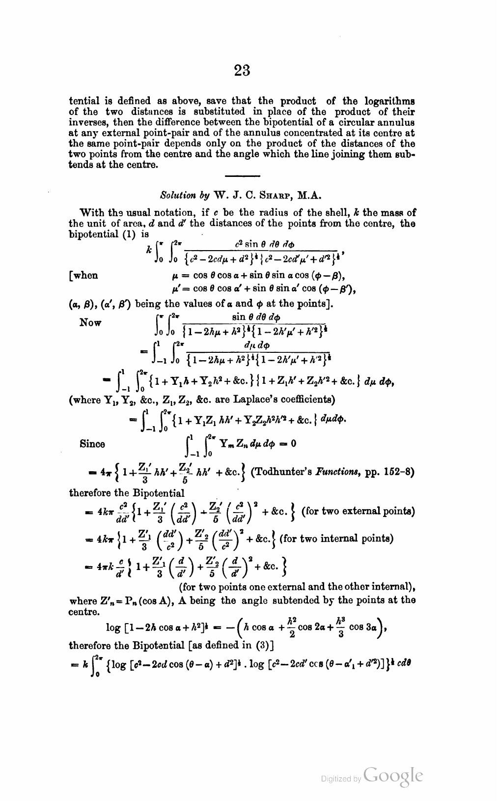
Problem in the journal
Solution