Woolly Mathematics
Home
F.A.Q.
Database
All problems
Extras
About
Previous
Next
Number:
6135
Author:
W.S.B. Woolhouse
Issue:
ET Vol 32, Nov 1879
Tags:
Average Value / Average Distance
Solved by:
F.P. Matz, MQ Vol 37
Solved by:
E.B. Seitz, MQ Vol 37
Solved by:
W.S.B. Woolhouse, MQ Vol 38
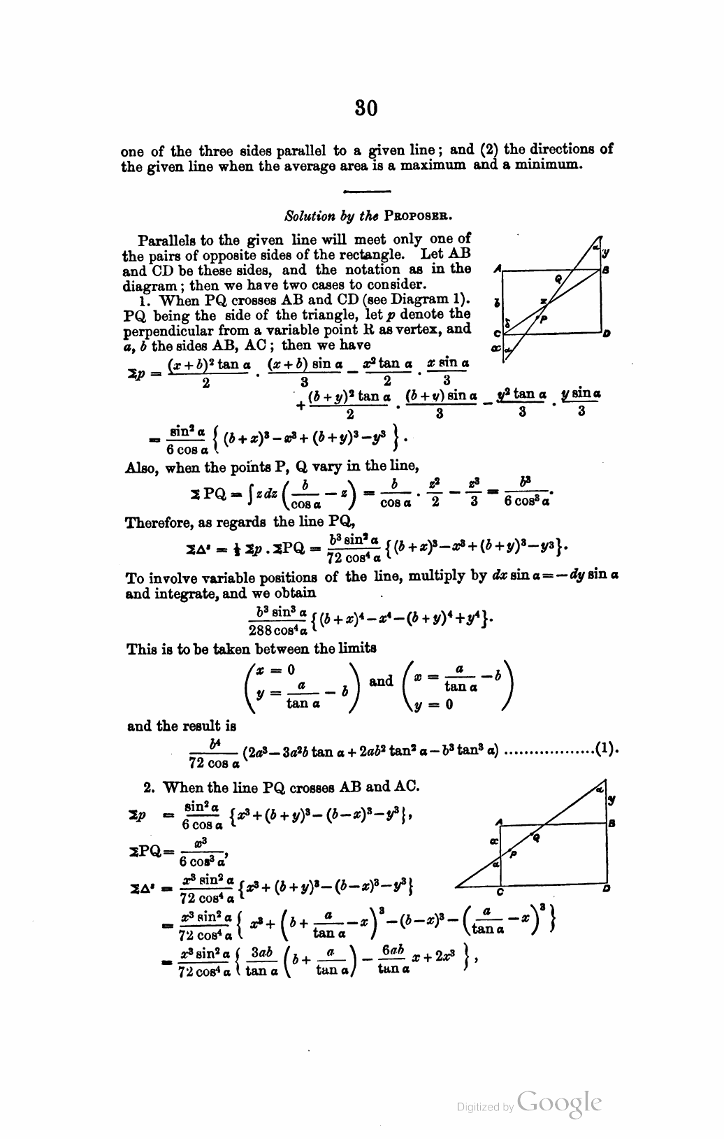
Problem in the journal
Solution
Solution