Woolly Mathematics
Home
F.A.Q.
Database
All problems
Extras
About
Previous
Next
Number:
4940
Author:
A. Martin
Issue:
ET Vol 28, Mar 1876
Tags:
Average Value / Average Distance
Solved by:
H.G. Day, MQ Vol 25
Solved by:
A. Martin, MQ Vol 25
Problem in the journal
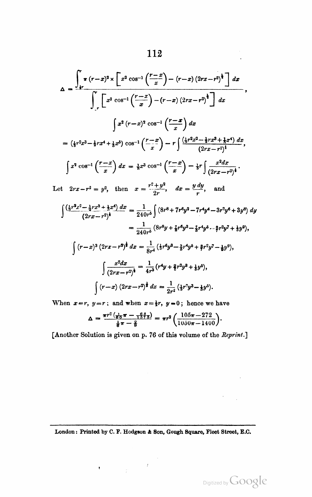
Solution
Solution