Woolly Mathematics
Home
F.A.Q.
Database
All problems
Extras
About
Previous
Next
Number:
4822
Author:
M.W. Crofton
Issue:
ET Vol 28, Nov 1875
Tags:
Average Value / Average Distance
Solved by:
M.W. Crofton, MQ Vol 24
Solved by:
E.B. Elliott, MQ Vol 24
Solved by:
S. Forde, MQ Vol 24
Solved by:
J. Wolstenholme, MQ Vol 24
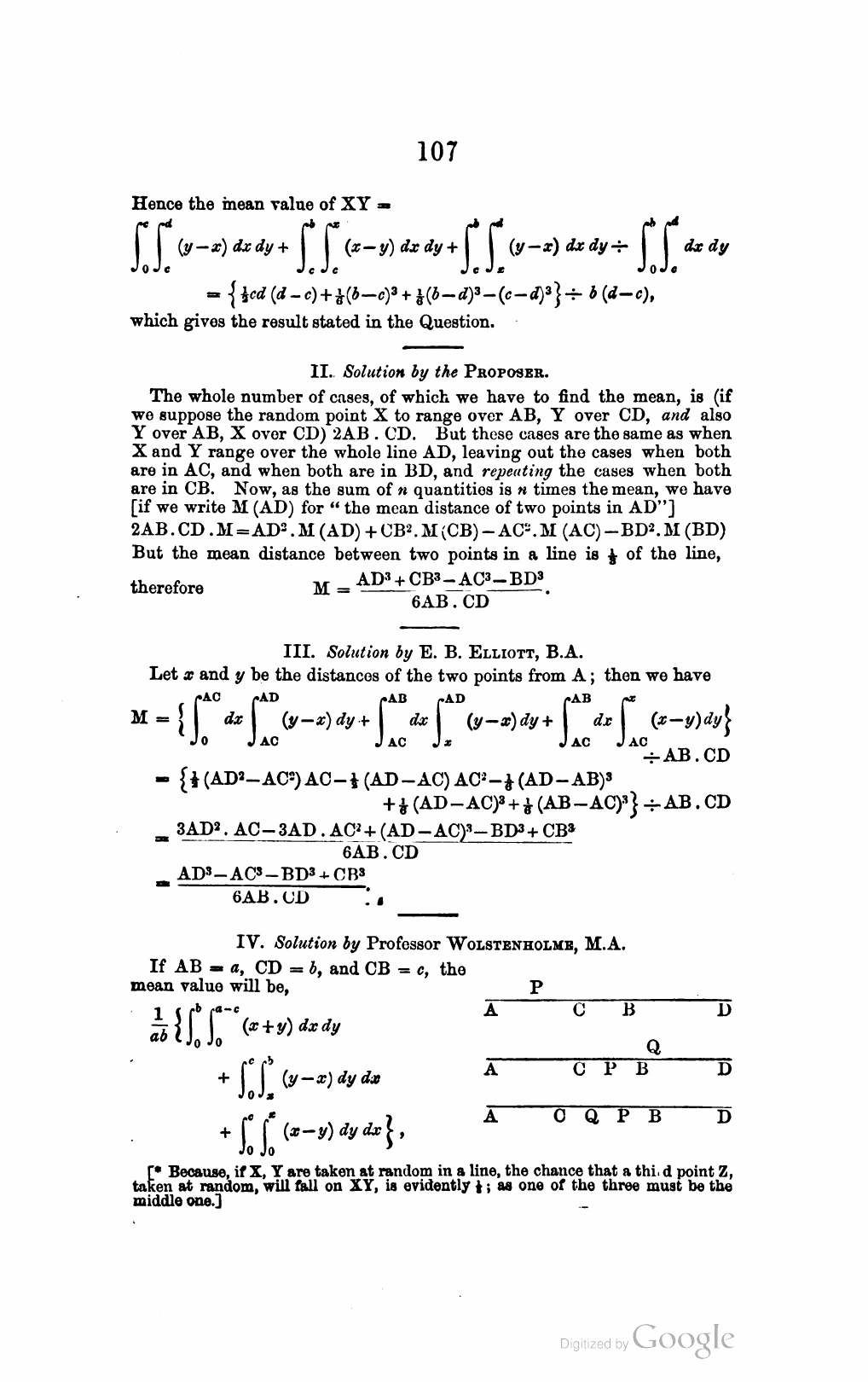
Problem in the journal
Solution