Woolly Mathematics
Home
F.A.Q.
Database
All problems
Extras
About
Previous
Next
Number:
4501
Author:
Christine Ladd
Issue:
ET Vol 27, Sep 1874
Tags:
Analysis (Real & Complex)
Solved by:
S. Corner, MQ Vol 22
Solved by:
A.B. Evans, MQ Vol 22
Solved by:
Christine Ladd, MQ Vol 22
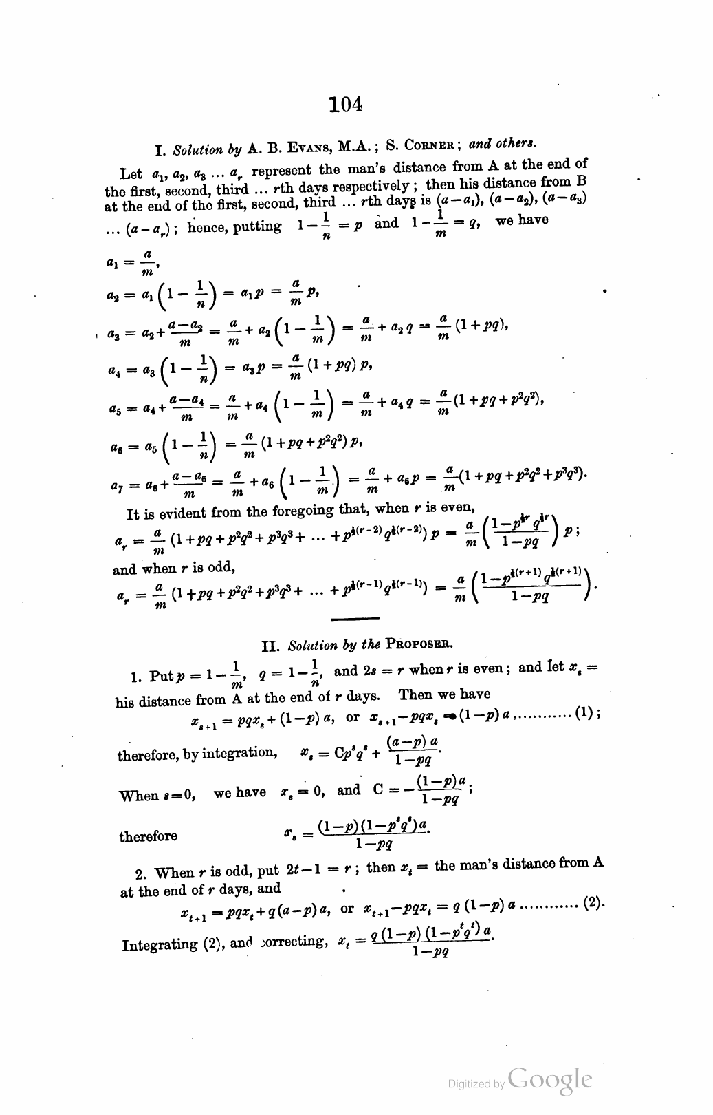
Problem in the journal
Solution