Woolly Mathematics
Home
F.A.Q.
Database
All problems
Extras
About
Previous
Next
Number:
4331
Author:
A. Martin
Issue:
ET Vol 26, Feb 1874
Tags:
Number Theory
Solved by:
A.B. Evans, MQ Vol 22
Solved by:
A. Martin, MQ Vol 22
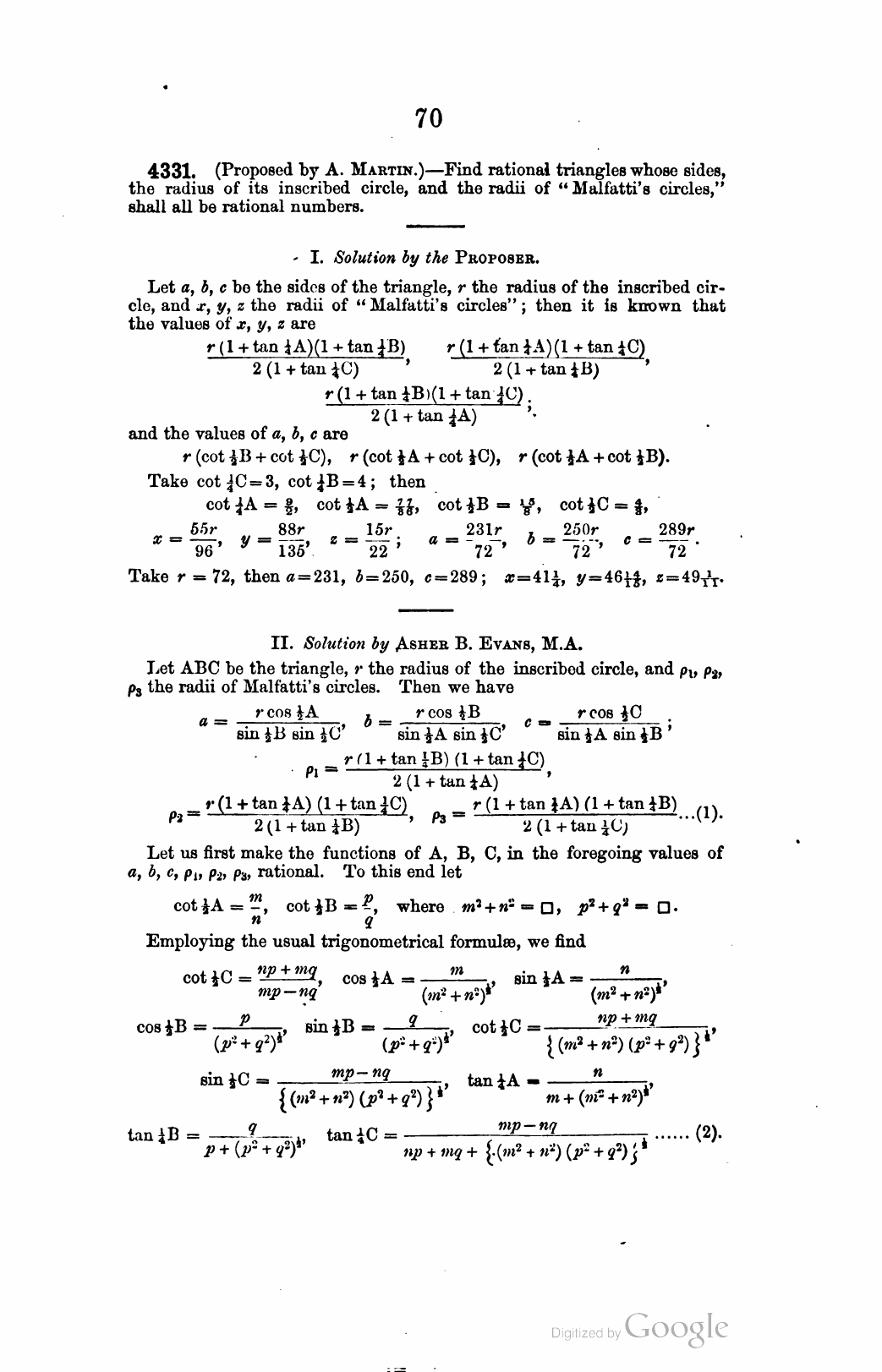
Problem in the journal
Solution