Woolly Mathematics
Home
F.A.Q.
Database
All problems
Extras
About
Previous
Next
Number:
3893
Author:
R.S. Ball
Issue:
ET Vol 25, Oct 1872
Tags:
Mechanics (Forces) / Statics / Equilbrium / Velocity / Accel
Solved by:
R.S. Ball, MQ Vol 18
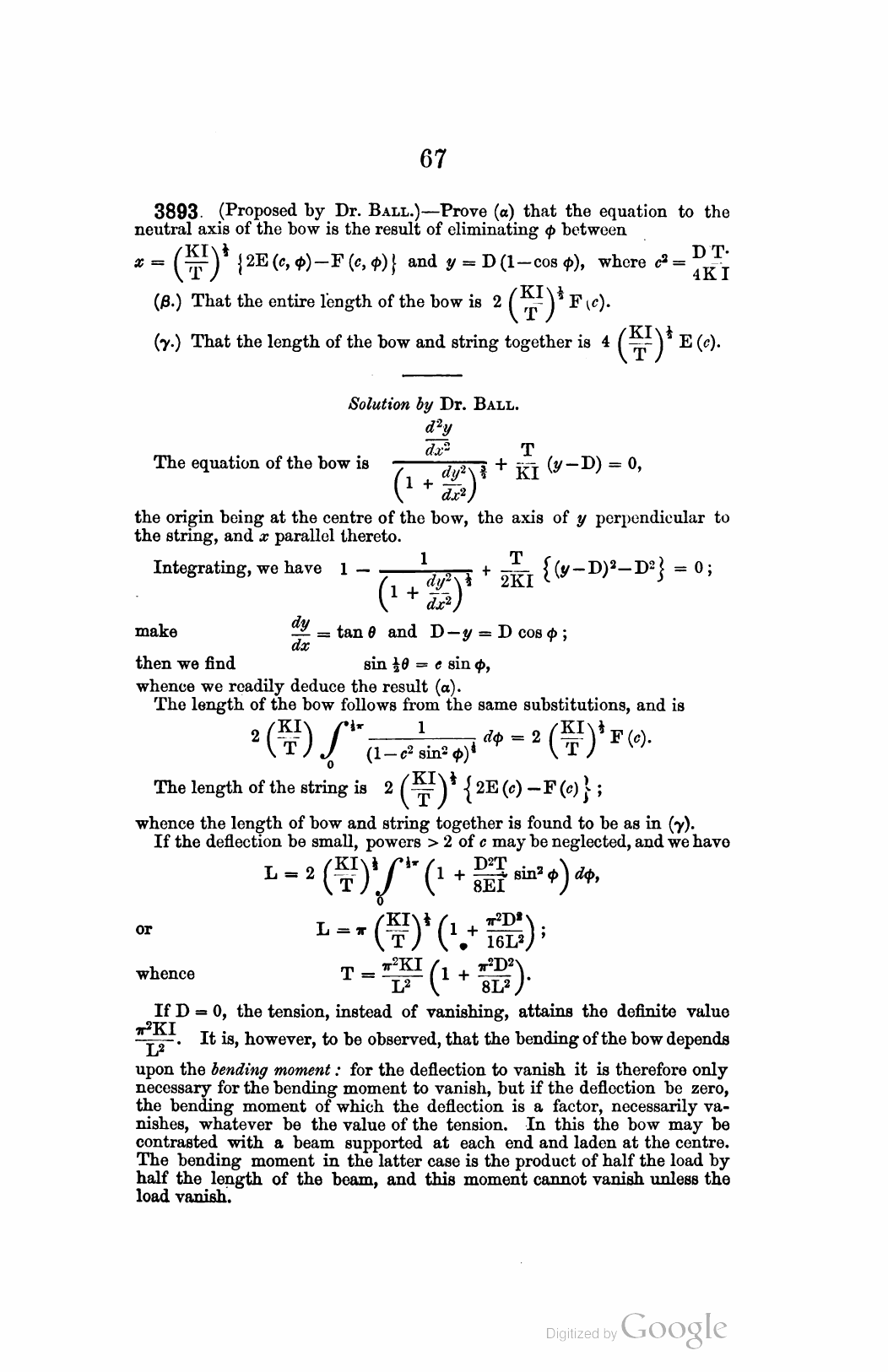
Problem in the journal
Solution