Woolly Mathematics
Home
F.A.Q.
Database
All problems
Extras
About
Previous
Next
Number:
3218
Author:
J. Blissard
Issue:
ET Vol 23, Sep 1870
Tags:
Analysis (Sequences & Series)
Solved by:
Stephen Watson, MQ Vol 15
Solved by:
J. Wolstenholme, MQ Vol 15
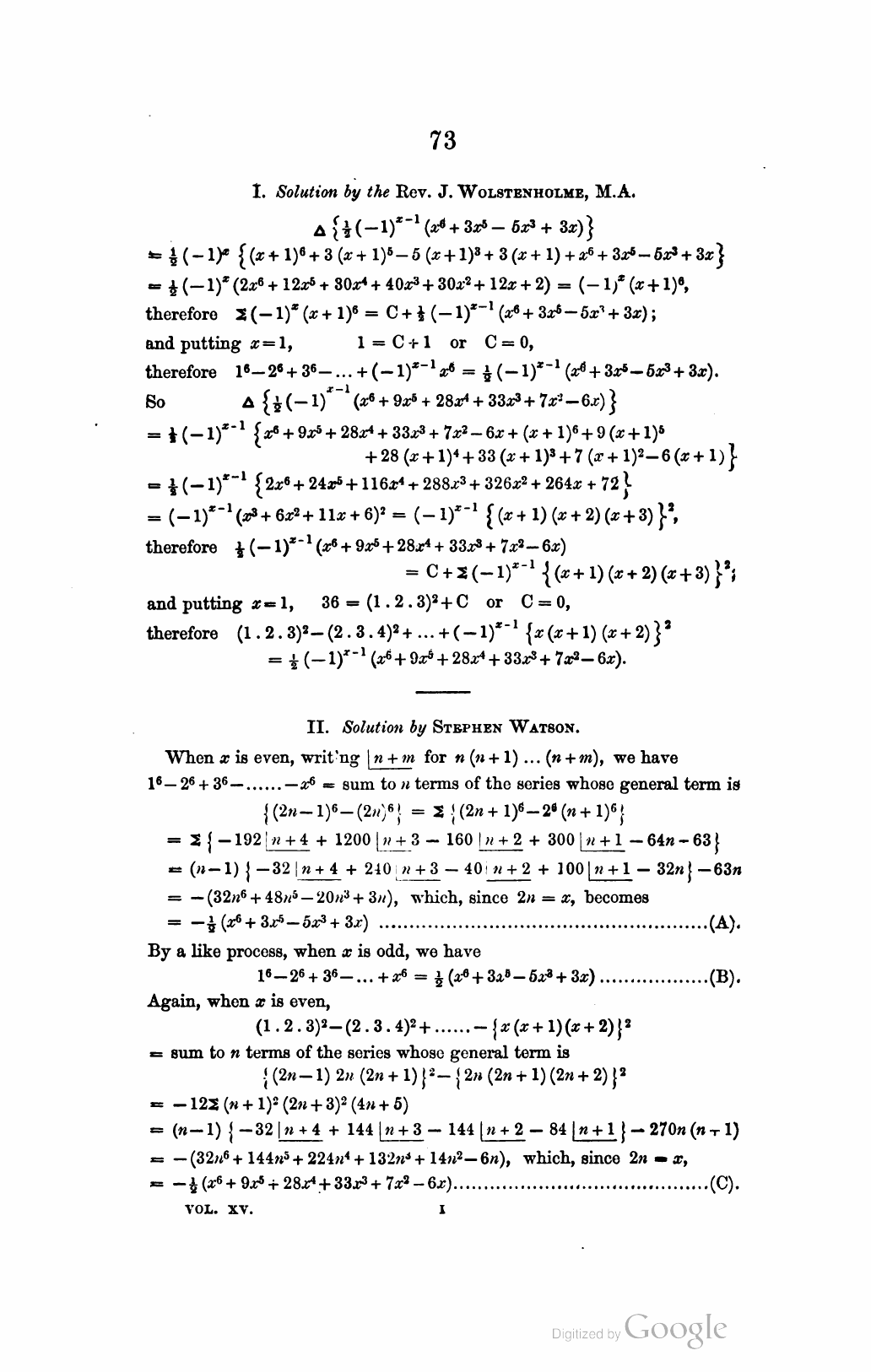
Problem in the journal
Solution