Woolly Mathematics
Home
F.A.Q.
Database
All problems
Extras
About
Previous
Next
Number:
3123
Author:
A. Martin
Issue:
ET Vol 23, Apr 1870
Tags:
Average Value / Average Distance
Solved by:
A. Martin, MQ Vol 20
Solved by:
Stephen Watson, MQ Vol 18
Problem in the journal
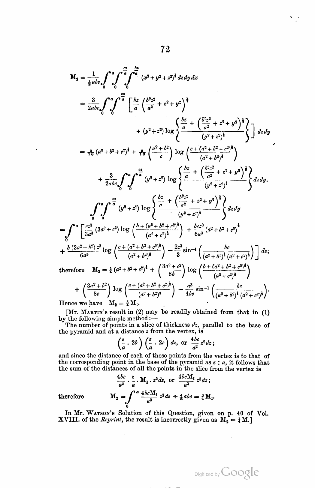
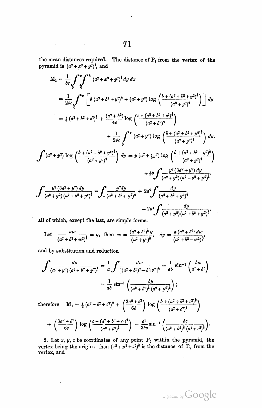
Solution