Woolly Mathematics
Home
F.A.Q.
Database
All problems
Extras
About
Previous
Next
Number:
3005
Author:
S. Watson
Issue:
ET Vol 22, Nov 1869
Tags:
Average Value / Average Distance
Solved by:
Artemas Martin, MQ Vol 14
Solved by:
S. Watson, MQ Vol 14
Problem in the journal
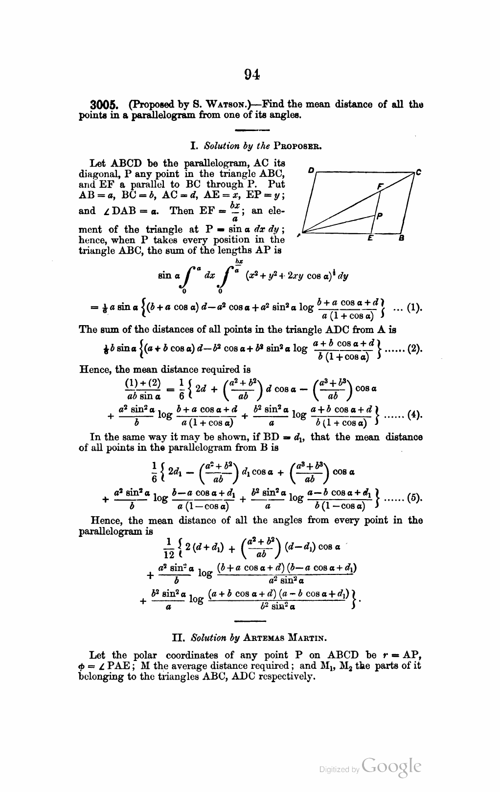
Solution