Woolly Mathematics
Home
F.A.Q.
Database
All problems
Extras
About
Previous
Next
Number:
2401
Author:
Morgan Jenkins
Issue:
ET Vol 20, May 1867
Tags:
Analysis (Real & Complex)
Solved by:
Morgan Jenkins, MQ Vol 15
Problem in the journal
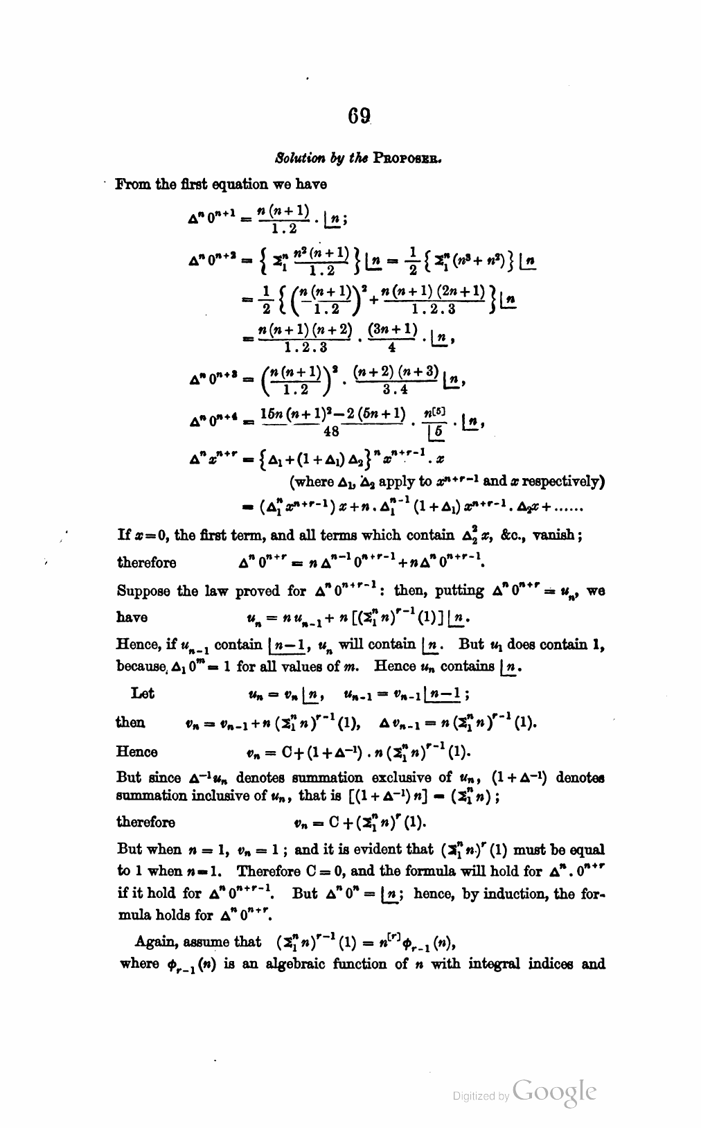
Solution