Woolly Mathematics
Home
F.A.Q.
Database
All problems
Extras
About
Previous
Next
Number:
17228
Author:
A.M. Nesbitt
Issue:
ET Vol 65, Jan 1912
Tags:
Equations & Solving Equations
Solved by:
A.L. Atkin, MQ Vol 98
Solved by:
R.F. Davis, MQ Vol 97
Solved by:
A.M. Nesbitt, MQ Vol 98
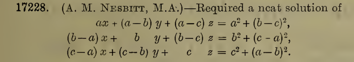
Problem in the journal
Solution
Solution
Solution