Woolly Mathematics
Home
F.A.Q.
Database
All problems
Extras
About
Previous
Next
Number:
1594
Author:
J. Blissard
Issue:
ET Vol 17, Nov 1864
Tags:
Analysis (Sequences & Series)
Solved by:
J. Blissard, MQ Vol 3
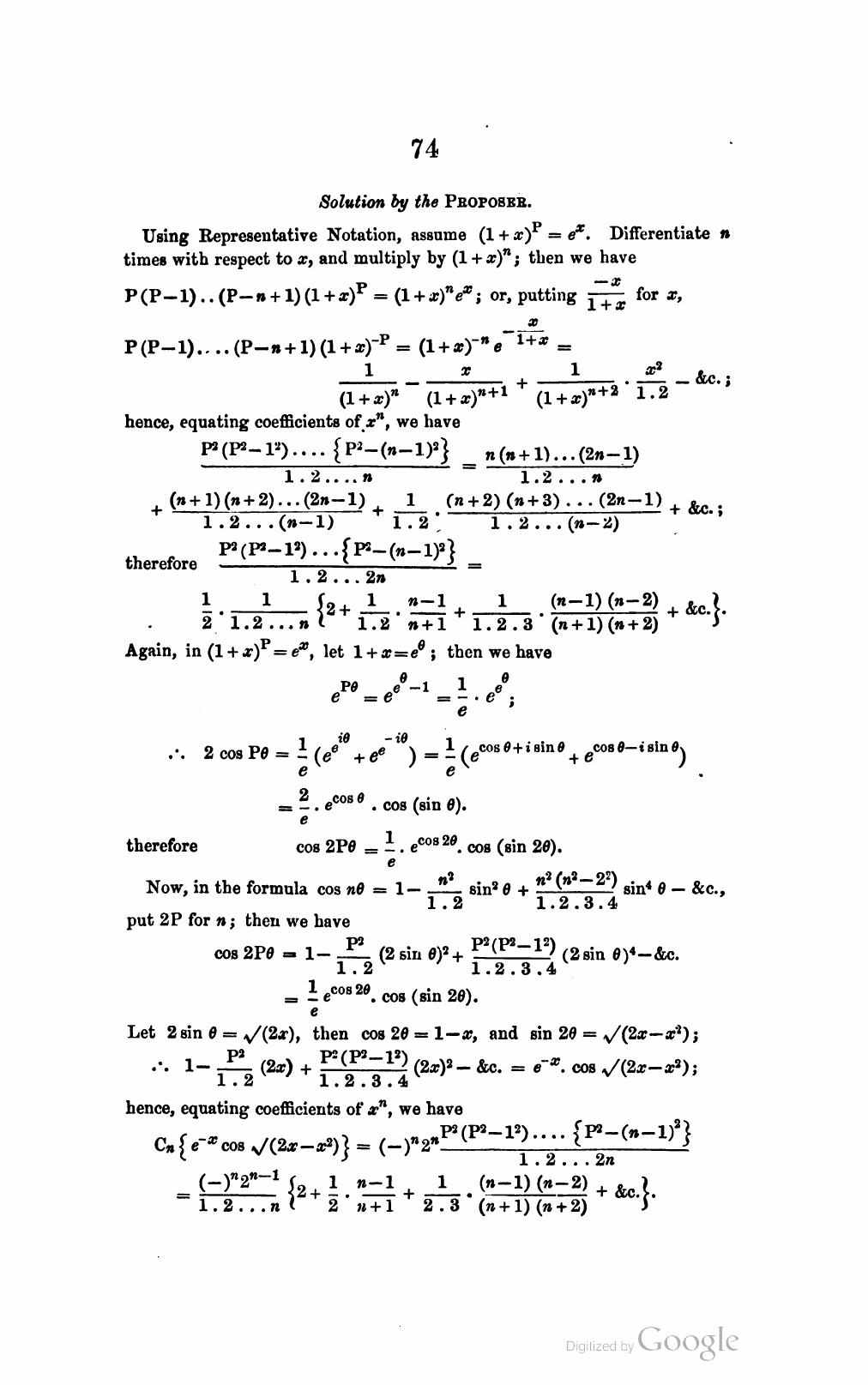
Problem in the journal
Solution