Woolly Mathematics
Home
F.A.Q.
Database
All problems
Extras
About
Previous
Next
Number:
1567
Author:
Robert Harley
Issue:
ET Vol 17, Oct 1864
Tags:
Combinatorics
Solved by:
S. Bills, MQ Vol 3
Solved by:
J. Blissard, MQ Vol 3
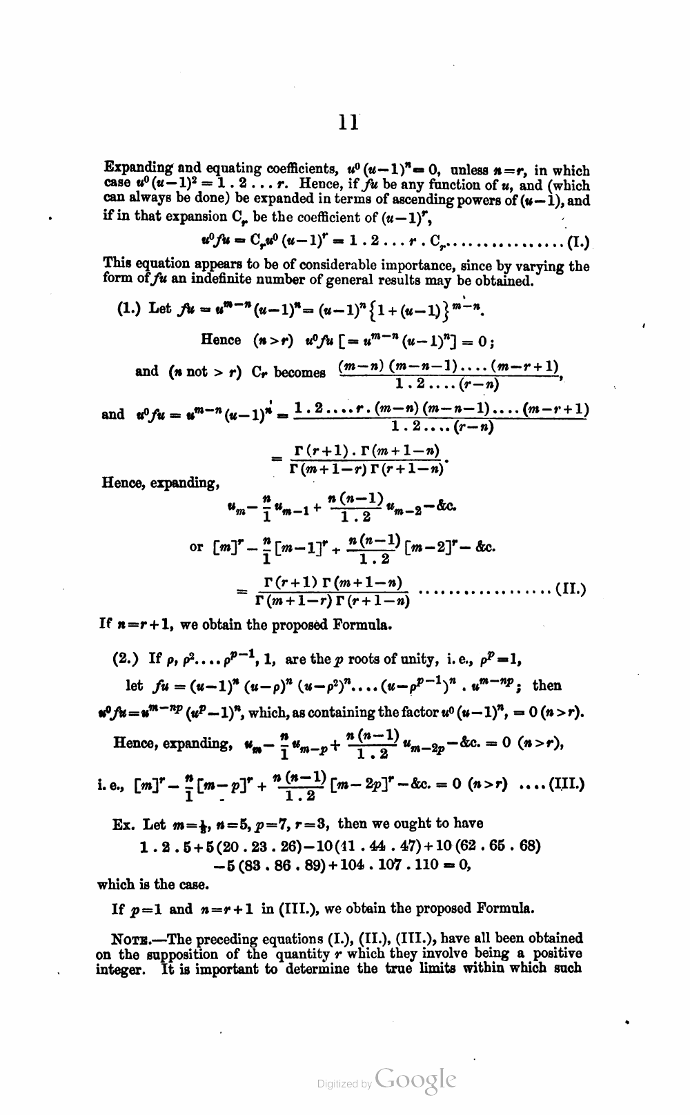
Problem in the journal
Solution