Woolly Mathematics
Home
F.A.Q.
Database
All problems
Extras
About
Previous
Next
Number:
14394
Author:
Thomas Savage
Issue:
ET Vol 52, Dec 1899
Tags:
Analysis (Inequalities)
Solved by:
H. MacColl, MQ Vol 74
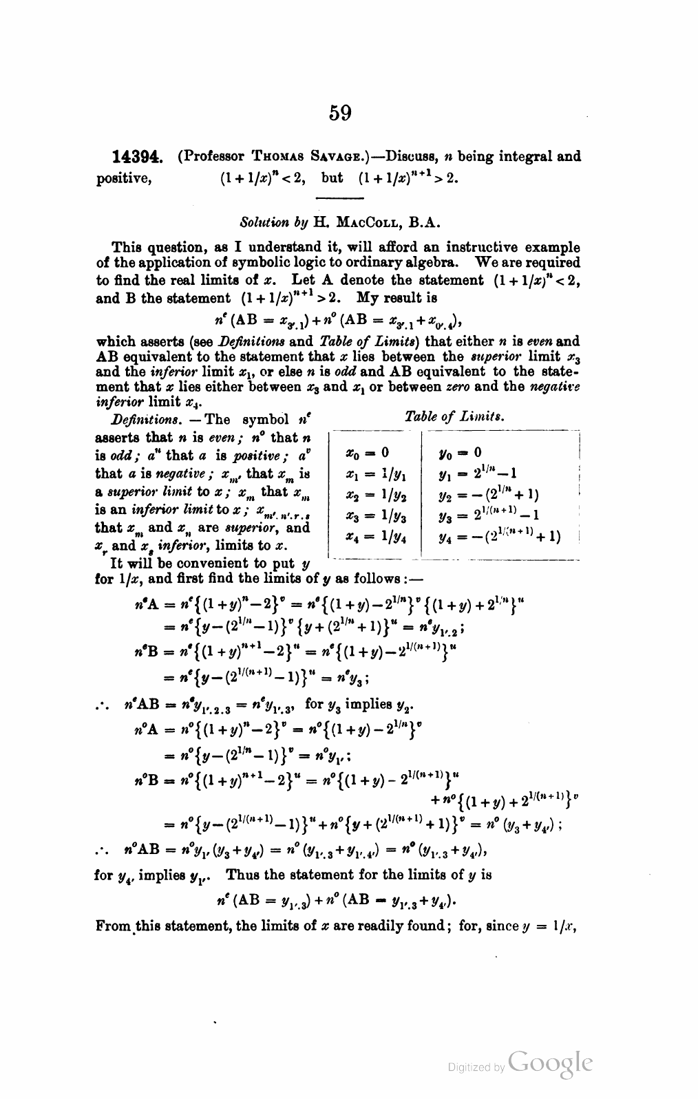
Problem in the journal
Solution