Woolly Mathematics
Home
F.A.Q.
Database
All problems
Extras
About
Previous
Next
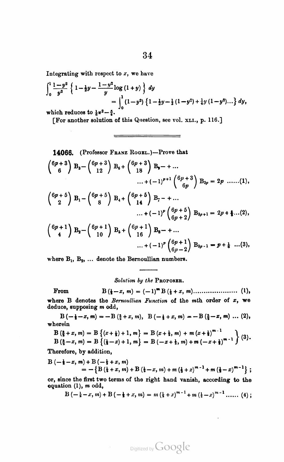
Number:
14066
Author:
Franz Rogel
Issue:
ET Vol 51, Dec 1898
Tags:
Analysis (Real & Complex)
Solved by:
F. Rogel, MQ Vol 71
Problem in the journal
Solution