Woolly Mathematics
Home
F.A.Q.
Database
All problems
Extras
About
Previous
Next
Number:
13929
Author:
S. Sircom
Issue:
ET Vol 51, Aug 1898
Tags:
Analysis (Real & Complex)
Solved by:
G.H. Hardy, MQ Vol 70
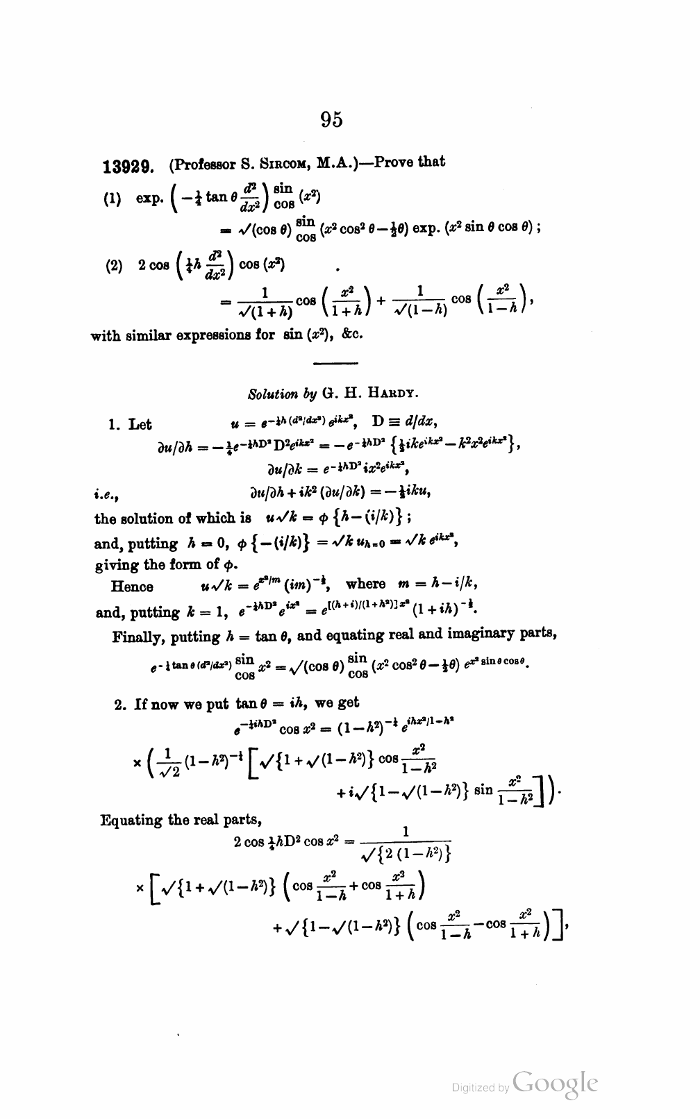
Problem in the journal
Solution