Woolly Mathematics
Home
F.A.Q.
Database
All problems
Extras
About
Previous
Next
Number:
13399
Author:
J. Cullen
Issue:
ET Vol 50, Jan 1897
Tags:
Analysis (Sequences & Series)
Solved by:
J. Cullen, MQ Vol 67
Solved by:
W.E. Jeffares, MQ Vol 67
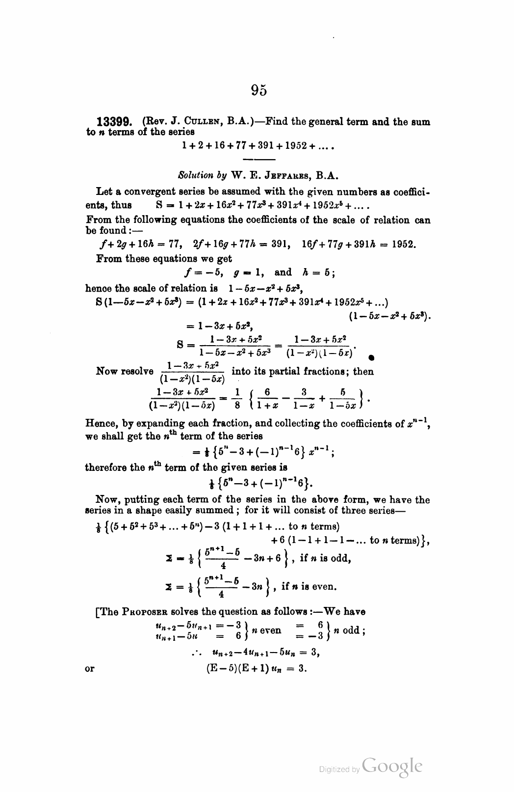
Problem in the journal
Solution