Woolly Mathematics
Home
F.A.Q.
Database
All problems
Extras
About
Previous
Next
Number:
13385
Author:
H.B. Billups
Issue:
ET Vol 50, Jan 1897
Tags:
Equations & Solving Equations
Solved by:
H.B. Billups, MQ Vol 67
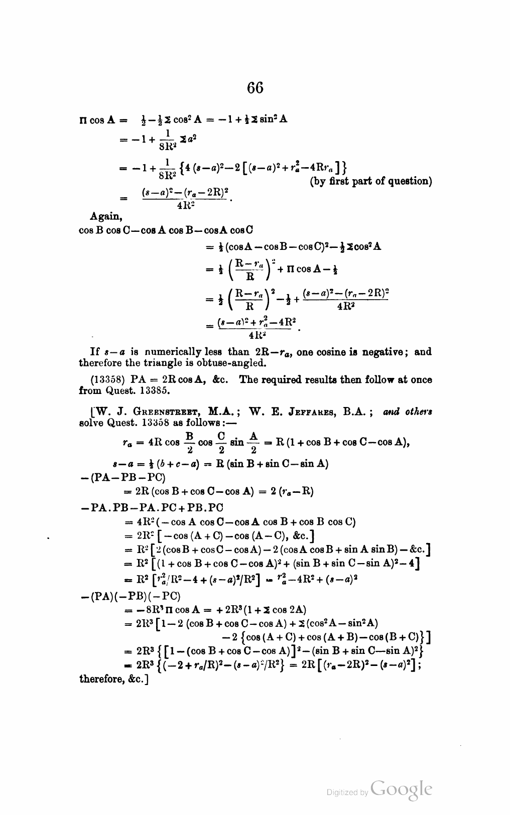
Problem in the journal
Solution