Woolly Mathematics
Home
F.A.Q.
Database
All problems
Extras
About
Previous
Next
Number:
13358
Author:
H.B. Billups
Issue:
ET Vol 49, Dec 1896
Tags:
Triangle & Circle Geometry (Trilinear coordinates)
Solved by:
H.B. Billups, MQ Vol 67
Solved by:
W.J. Greenstreet, MQ Vol 67
Solved by:
W.E. Jeffares, MQ Vol 67
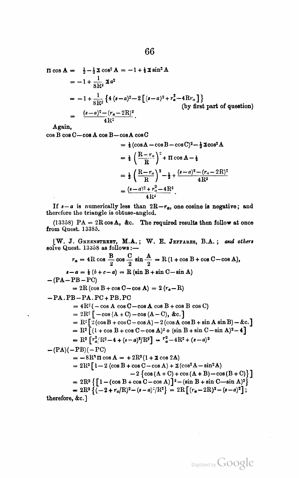
Problem in the journal
Solution