Woolly Mathematics
Home
F.A.Q.
Database
All problems
Extras
About
Previous
Next
Number:
11427
Author:
R. Lachlan
Issue:
ET Vol 45, Feb 1892
Tags:
Non-Conic Curves & Locus/Envelopes
Solved by:
Prof. Aiyar, MQ Vol 58
Solved by:
R.F. Davis, MQ Vol 58
Solved by:
K.J. Sanjána, MQ Vol 74
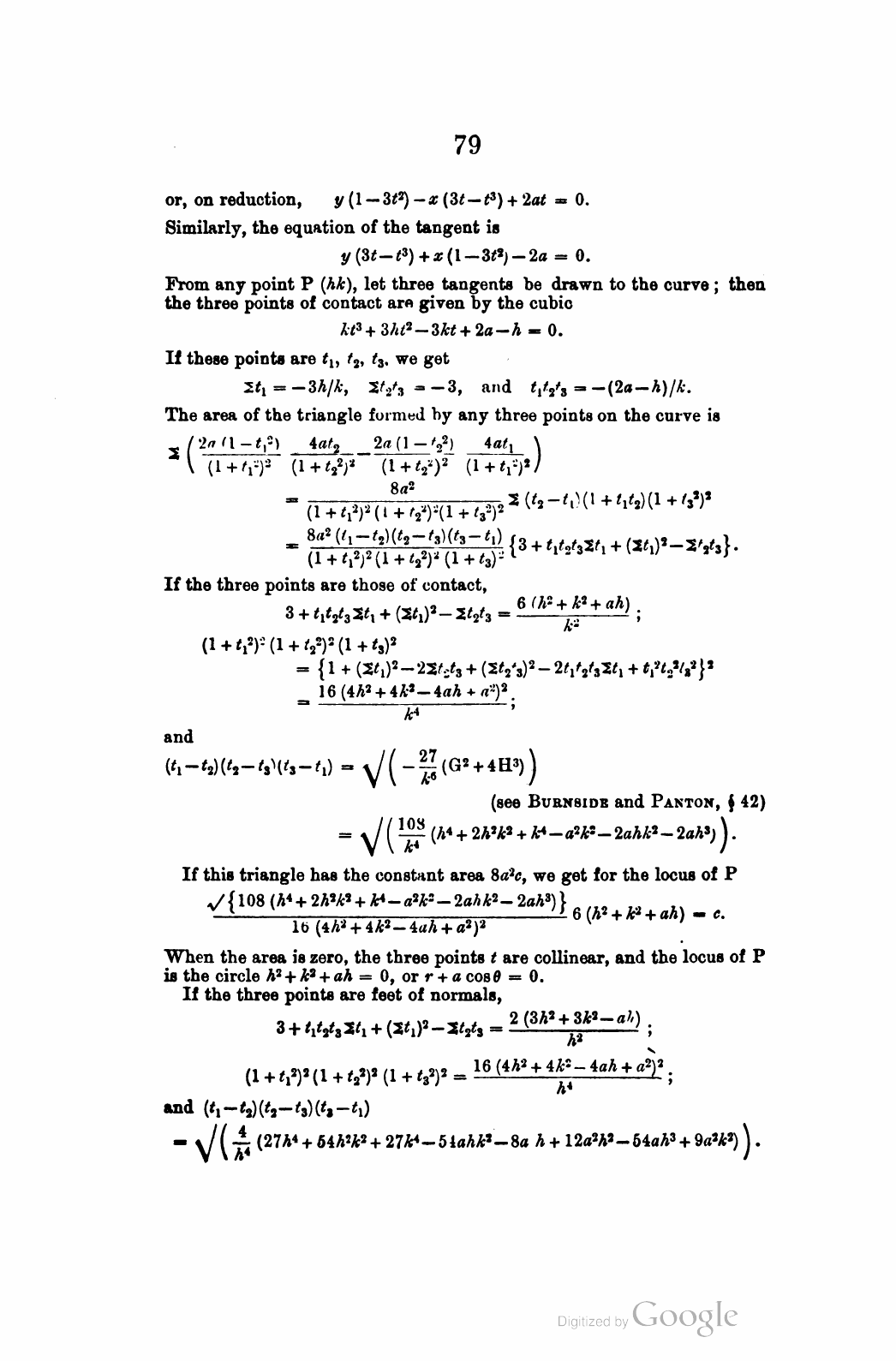
Problem in the journal
Solution
Solution