Woolly Mathematics
Home
F.A.Q.
Database
All problems
Extras
About
Previous
Next
Number:
11145
Author:
G.B.M. Zerr
Issue:
ET Vol MQ, Vol. 1855
Tags:
Average Value / Average Distance
Solved by:
G.B.M. Zerr, MQ Vol 55
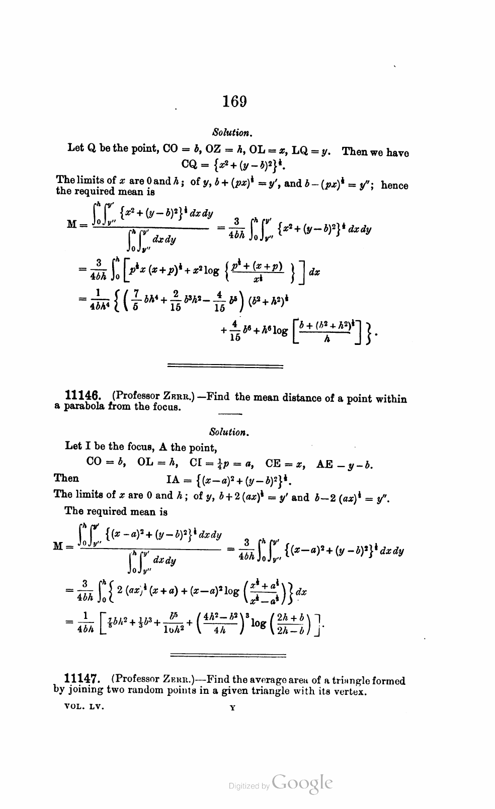
Problem in the journal
Solution