Woolly Mathematics
Home
F.A.Q.
Database
All problems
Extras
About
Previous
Next
Number:
10206
Author:
W.J. Greenstreet
Issue:
ET Vol 42, Jul 1889
Tags:
Non-Conic Curves & Locus/Envelopes
Solved by:
W.J. Greenstreet, MQ Vol 55
Solved by:
Prof. Mukhopadhyay, MQ Vol 55
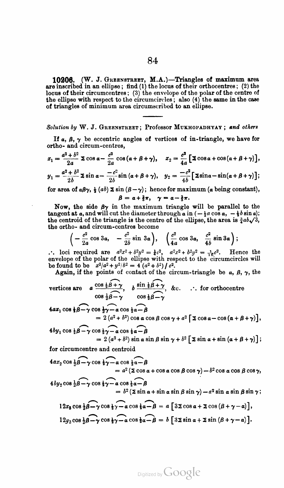
Problem in the journal
Solution